Официальное опубликование правовых актов
ОФИЦИАЛЬНОЕ ОПУБЛИКОВАНИЕ
Постановление Департамента природопользования и охраны окружающей среды Владимирской области от 26.02.2021 № 52
"Об установлении зон санитарной охраны источников питьевого, хозяйственно-бытового и технологического водоснабжения ГУП МО "Коммунальные системы Московской области"
Номер опубликования: 3301202103050004
Дата опубликования: 05.03.2021
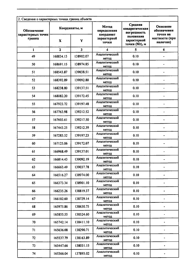
Страница №15 из 33:
Увеличить