Официальное опубликование правовых актов
ОФИЦИАЛЬНОЕ ОПУБЛИКОВАНИЕ
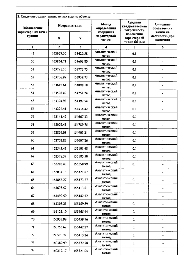
Постановление Департамента природопользования и охраны окружающей среды Владимирской области от 26.02.2021 № 43
"Об установлении зон санитарной охраны источников питьевого, хозяйственно-бытового и технологического водоснабжения ГУП МО "Коммунальные системы Московской области"
Номер опубликования: 3301202103030002
Дата опубликования: 03.03.2021
Страница №14 из 20:
Увеличить