Официальное опубликование правовых актов
ОФИЦИАЛЬНОЕ ОПУБЛИКОВАНИЕ
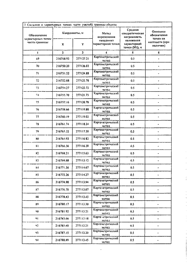
Постановление Департамента природопользования и охраны окружающей среды Владимирской области от 02.02.2021 № 12
"Об установлении зон санитарной охраны источников хозяйственно-питьевого и производственного водоснабжения ОАО "ЗИД"
Номер опубликования: 3301202102020002
Дата опубликования: 02.02.2021
Страница №40 из 404:
Увеличить