Официальное опубликование правовых актов
ОФИЦИАЛЬНОЕ ОПУБЛИКОВАНИЕ
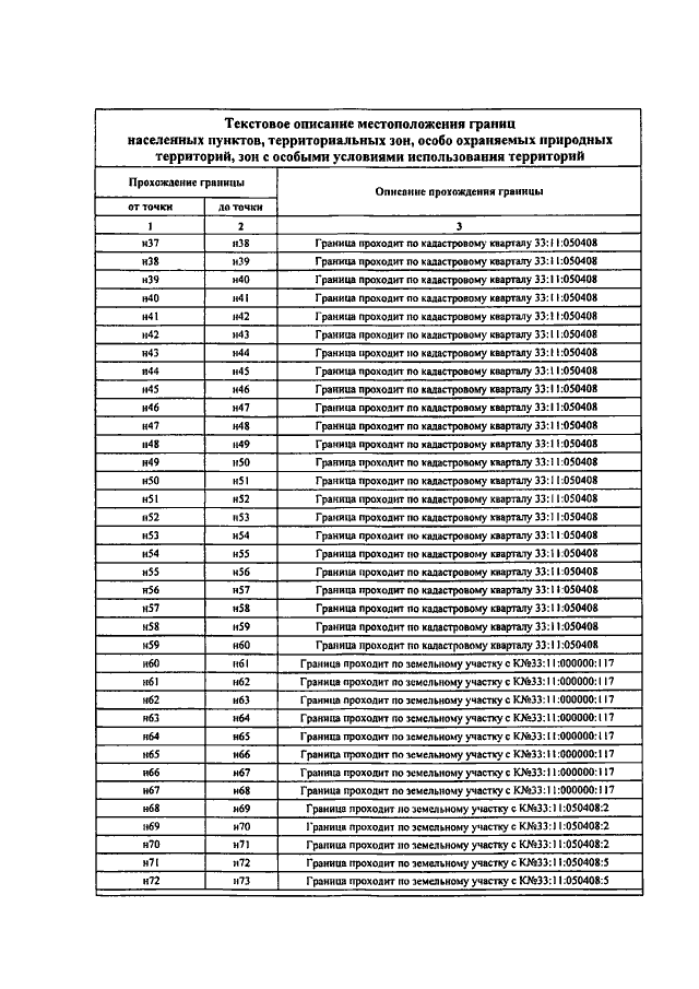
Постановление Департамента природопользования и охраны окружающей среды Владимирской области от 26.01.2021 № 8
"Об установлении зон санитарной охраны источников питьевого, хозяйственно-бытового и технологического водоснабжения ООО "Ревяки"
Номер опубликования: 3301202101280004
Дата опубликования: 28.01.2021
Страница №27 из 31:
Увеличить