Официальное опубликование правовых актов
ОФИЦИАЛЬНОЕ ОПУБЛИКОВАНИЕ
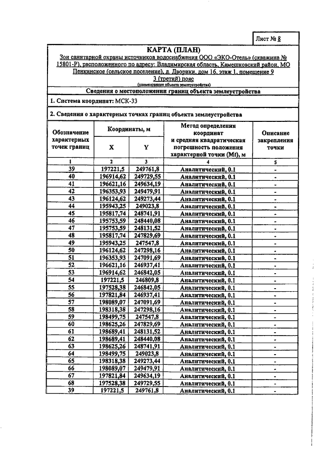
Постановление Департамента природопользования и охраны окружающей среды Владимирской области от 20.01.2021 № 3
"Об установлении зон санитарной охраны источников питьевого, хозяйственно-бытового и технологического водоснабжения ООО "ЭКО-Отель"
Номер опубликования: 3301202101220003
Дата опубликования: 22.01.2021
Страница №23 из 30:
Увеличить