Официальное опубликование правовых актов
ОФИЦИАЛЬНОЕ ОПУБЛИКОВАНИЕ
Постановление Департамента по труду и занятости населения Владимирской области от 26.12.2020 № 3
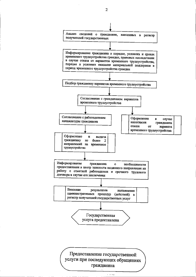
"Об утверждении административного регламента предоставления государственными казенными учреждениями Владимирской области центрами занятости населения государственной услуги по организации временного трудоустройства несовершеннолетних граждан в возрасте от 14 до 18 лет в свободное от учебы время, безработных граждан, испытывающих трудности в поиске работы, безработных граждан в возрасте от 18 до 20 лет, имеющих среднее профессиональное образование и ищущих работу впервые"
Номер опубликования: 3301202012310001
Дата опубликования: 31.12.2020
Страница №21 из 22:
Увеличить