Официальное опубликование правовых актов
ОФИЦИАЛЬНОЕ ОПУБЛИКОВАНИЕ
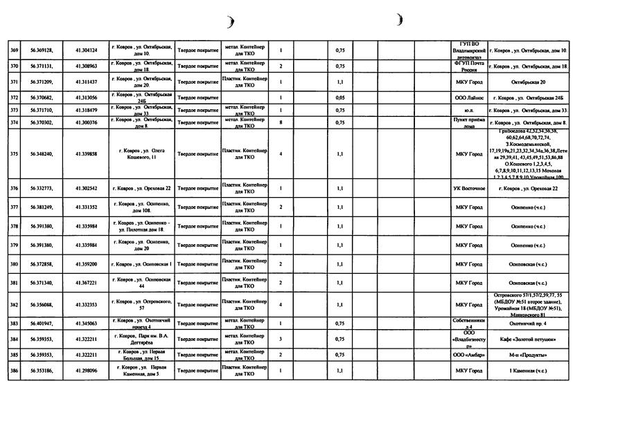
Постановление Департамента природопользования и охраны окружающей среды Владимирской области от 28.12.2020 № 187
"О корректировке территориальной схемы обращения с отходами на территории Владимирской области"
Номер опубликования: 3301202012290008
Дата опубликования: 29.12.2020
Страница №303 из 704:
Увеличить