Официальное опубликование правовых актов
ОФИЦИАЛЬНОЕ ОПУБЛИКОВАНИЕ
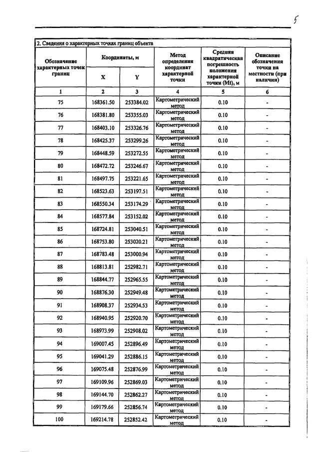
Постановление Департамента природопользования и охраны окружающей среды Владимирской области от 26.12.2020 № 186
"Об установлении зон санитарной охраны источников хозяйственно-питьевого водоснабжения ООО "Аква ТЭК"
Номер опубликования: 3301202012280009
Дата опубликования: 28.12.2020
Страница №30 из 44:
Увеличить