Официальное опубликование правовых актов
ОФИЦИАЛЬНОЕ ОПУБЛИКОВАНИЕ
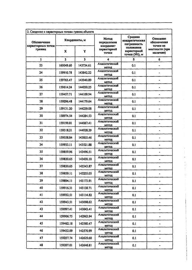
Постановление Департамента природопользования и охраны окружающей среды Владимирской области от 21.12.2020 № 175
"Об установлении зон санитарной охраны источников питьевого, хозяйственно-бытового и технологического водоснабжения ГУП МО "Коммунальные системы Московской области"
Номер опубликования: 3301202012220015
Дата опубликования: 22.12.2020
Страница №5 из 10:
Увеличить