Официальное опубликование правовых актов
ОФИЦИАЛЬНОЕ ОПУБЛИКОВАНИЕ
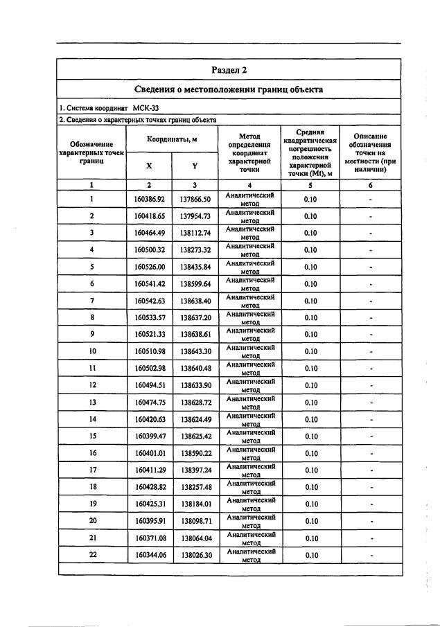
Постановление Департамента природопользования и охраны окружающей среды Владимирской области от 21.12.2020 № 173
"Об установлении зон санитарной охраны источников питьевого, хозяйственно-бытового и технологического водоснабжения ГУП МО "Коммунальные системы Московской обла"
Номер опубликования: 3301202012220013
Дата опубликования: 22.12.2020
Страница №4 из 9:
Увеличить