Официальное опубликование правовых актов
ОФИЦИАЛЬНОЕ ОПУБЛИКОВАНИЕ
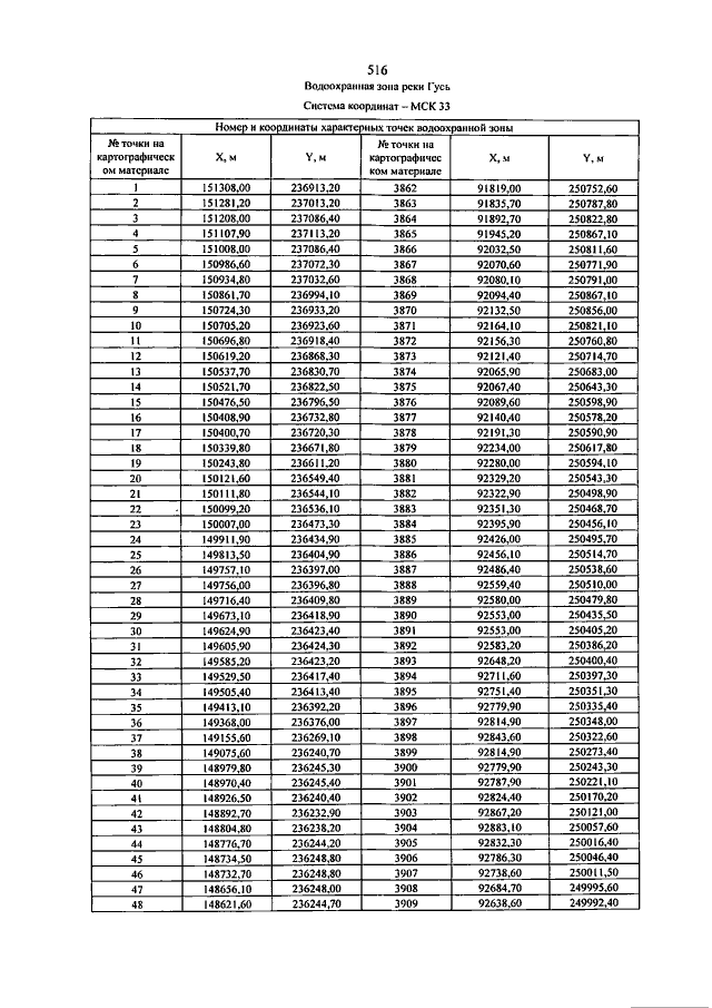
Постановление Департамента природопользования и охраны окружающей среды Владимирской области от 18.12.2020 № 171
"Об утверждении границ водоохранной зоны и прибрежной защитной полосы реки Гусь на территории Владимирской области"
Номер опубликования: 3301202012210003
Дата опубликования: 21.12.2020
Страница №519 из 623:
Увеличить