Официальное опубликование правовых актов
ОФИЦИАЛЬНОЕ ОПУБЛИКОВАНИЕ
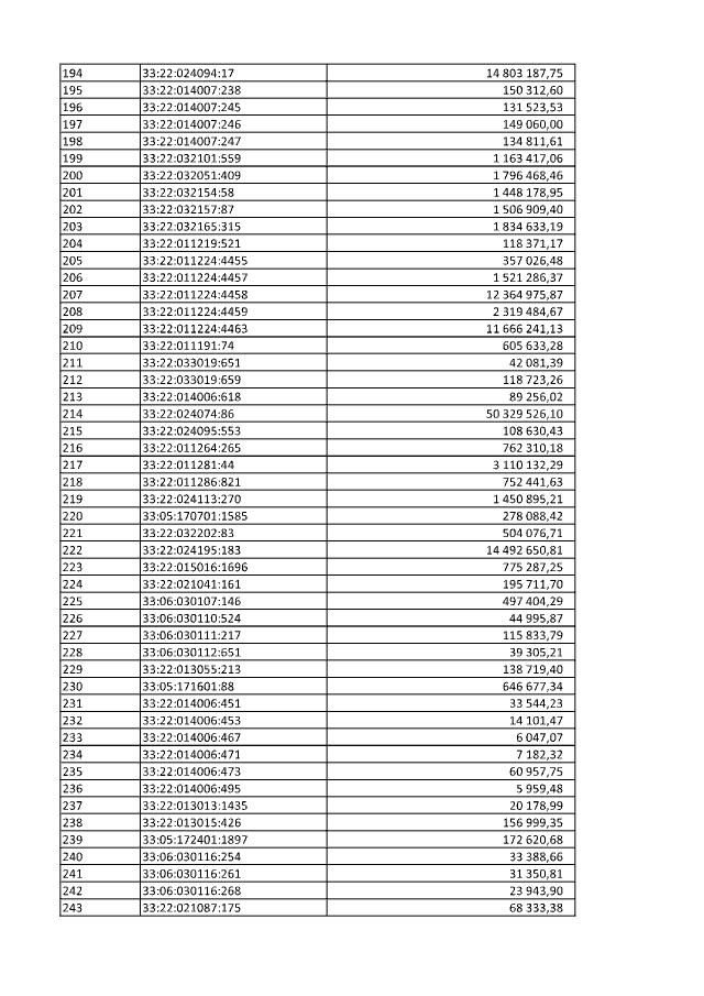
Постановление Департамента имущественных и земельных отношений Владимирской области от 27.11.2020 № 18
"Об утверждении результатов определения кадастровой стоимости объектов капитального строительства (зданий, сооружений, объектов незавершенного строительства, помещений, машино-мест, единых недвижимых комплексов)"
Номер опубликования: 3301202012040006
Дата опубликования: 04.12.2020
Страница №7 из 24082:
Увеличить