Официальное опубликование правовых актов
ОФИЦИАЛЬНОЕ ОПУБЛИКОВАНИЕ
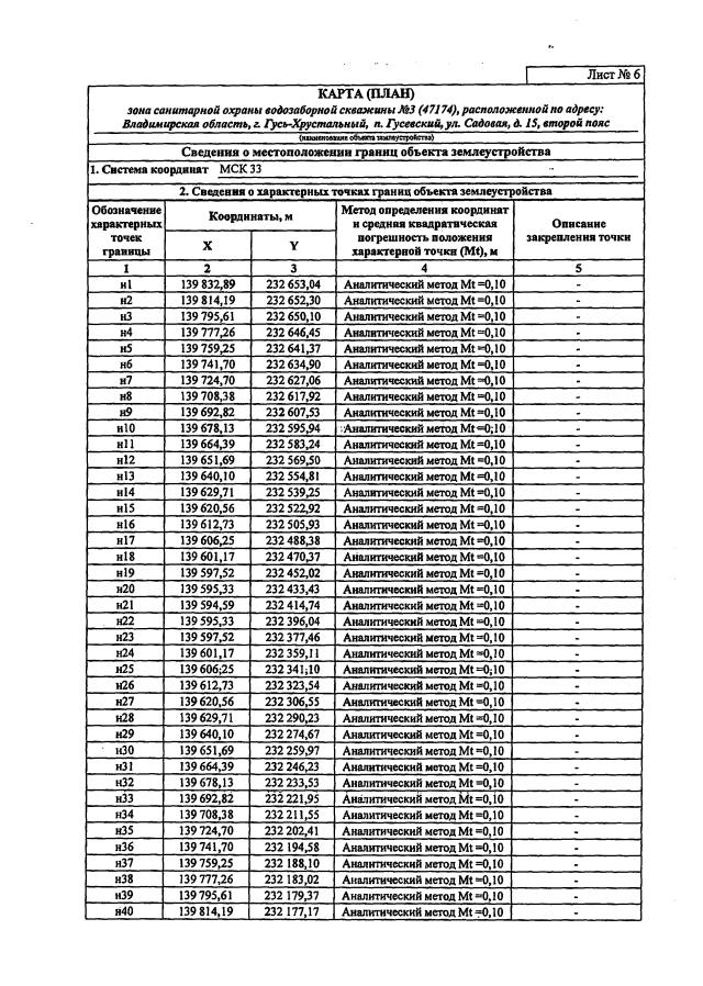
Постановление Департамента природопользования и охраны окружающей среды Владимирской области от 02.12.2020 № 162
"Об установлении зон санитарной охраны источников питьевого и хозяйственно-бытового водоснабжения МУВКП г. Гусь-Хрустальный"
Номер опубликования: 3301202012030003
Дата опубликования: 03.12.2020
Страница №68 из 185:
Увеличить