Официальное опубликование правовых актов
ОФИЦИАЛЬНОЕ ОПУБЛИКОВАНИЕ
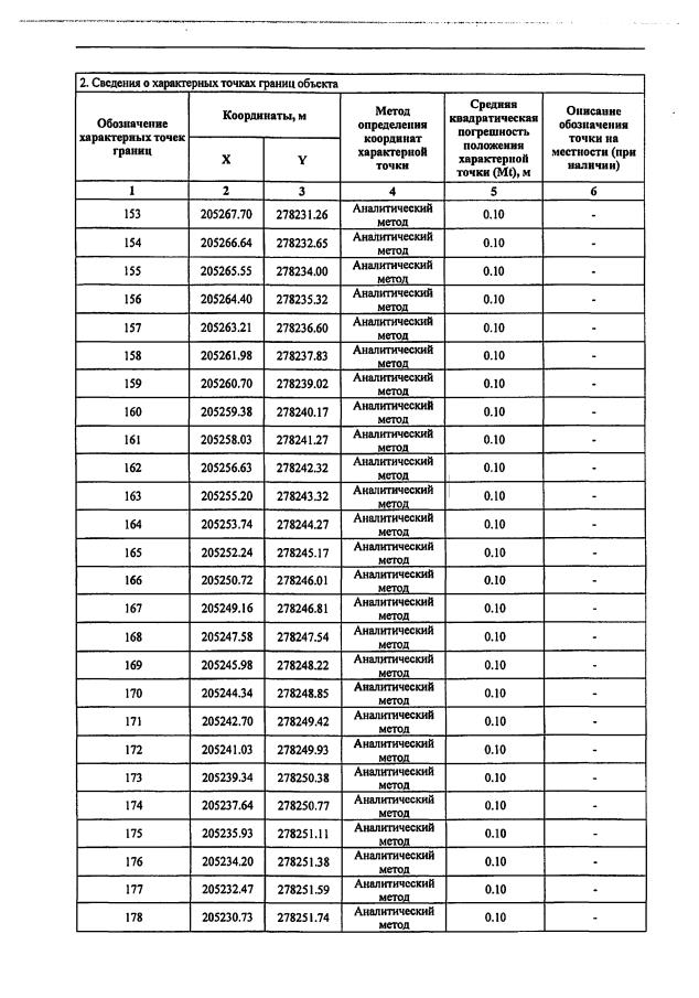
Постановление Департамента природопользования и охраны окружающей среды Владимирской области от 30.11.2020 № 158
"Об установлении зон санитарной охраны источников хозяйственно-питьевого водоснабжения филиала ГУП "ДСУ-3" "Ковровского ДРСУ"
Номер опубликования: 3301202012020002
Дата опубликования: 02.12.2020
Страница №10 из 50:
Увеличить