Официальное опубликование правовых актов
ОФИЦИАЛЬНОЕ ОПУБЛИКОВАНИЕ
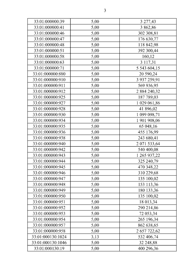
Постановление Департамента имущественных и земельных отношений Владимирской области от 29.11.2019 № 13
"Об утверждении результатов определения кадастровой стоимости земельных участков"
Номер опубликования: 3301201912030013
Дата опубликования: 03.12.2019
Страница №5 из 5549:
Увеличить