Официальное опубликование правовых актов
ОФИЦИАЛЬНОЕ ОПУБЛИКОВАНИЕ
Постановление Инспекции по охране объектов культурного наследия Владимирской области от 25.09.2019 № 24
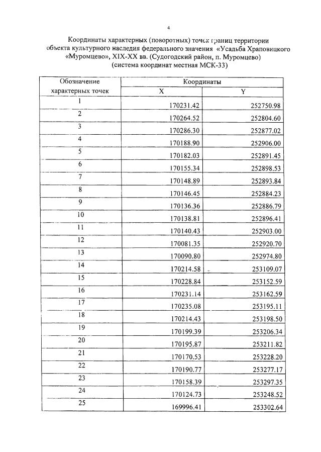
"Об утверждении границ и режима использования территории объекта культурного наследия федерального значения "Усадьба Храповицкого "Муромцево", XIX-XX вв. (Судогодский район, п. Муромцево)"
Номер опубликования: 3301201909260004
Дата опубликования: 26.09.2019
Страница №5 из 9:
Увеличить