Официальное опубликование правовых актов
ОФИЦИАЛЬНОЕ ОПУБЛИКОВАНИЕ
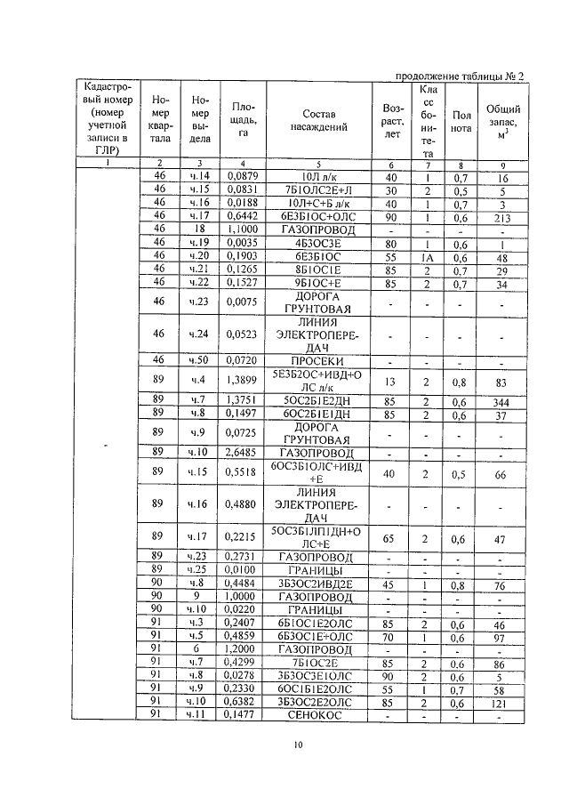
Постановление Департамента лесного хозяйства администрации Владимирской области от 28.02.2019 № 7
"Об утверждении документации по проектированию изменения границ лесопарковых зон защитных лесов земель лесного фонда"
Номер опубликования: 3301201903040002
Дата опубликования: 04.03.2019
Страница №12 из 47:
Увеличить