Официальное опубликование правовых актов
ОФИЦИАЛЬНОЕ ОПУБЛИКОВАНИЕ
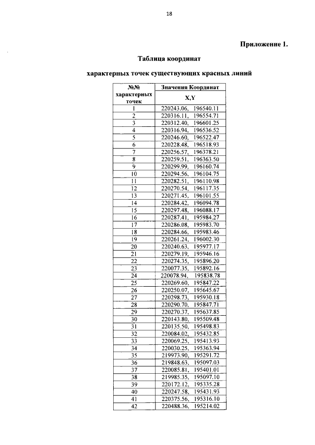
Постановление Департамента строительства и архитектуры администрации Владимирской области от 10.12.2018 № 92
"Об утверждении документации по планировке территории, предусматривающей реконструкцию линейного объекта энергетики "Комплексное техническое перевооружение и реконструкция ПС 220 кВ Районная (г. Владимир). Корректировка 4 проектной документации"
Номер опубликования: 3301201812110040
Дата опубликования: 11.12.2018
Страница №18 из 182:
Увеличить