Официальное опубликование правовых актов
ОФИЦИАЛЬНОЕ ОПУБЛИКОВАНИЕ
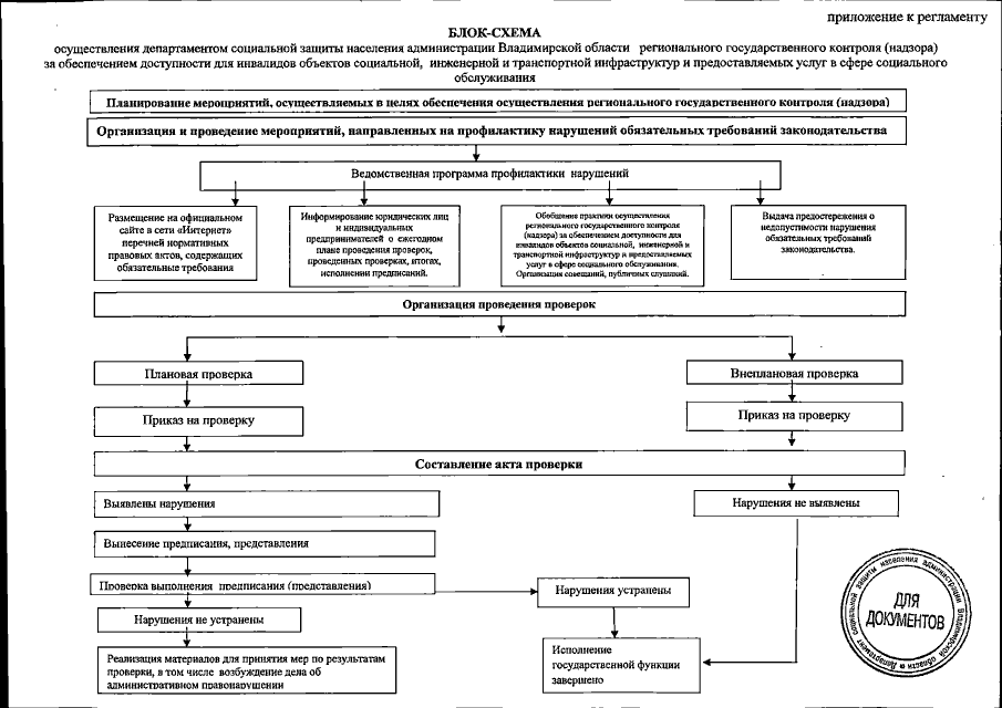
Постановление Департамента социальной защиты населения Владимирской области от 21.11.2018 № 13
"О внесении изменений в отдельные постановления департамента социальной защиты населения администрации Владимирской области"
Номер опубликования: 3301201811300015
Дата опубликования: 30.11.2018
Страница №60 из 60:
Увеличить