Официальное опубликование правовых актов
ОФИЦИАЛЬНОЕ ОПУБЛИКОВАНИЕ
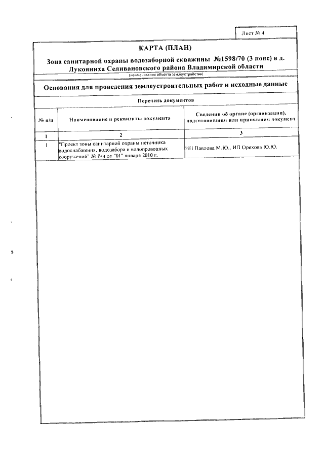
Постановление Департамента природопользования и охраны окружающей среды Владимирской области от 30.10.2018 № 106/01-25
"Об утверждении проекта зон санитарной охраны источника водоснабжения-скважины №1598/70 МУП "Водоканал" ЖКХ Селивановского района в д. Лукояниха"
Номер опубликования: 3301201811010026
Дата опубликования: 01.11.2018
Страница №24 из 32:
Увеличить