Официальное опубликование правовых актов
ОФИЦИАЛЬНОЕ ОПУБЛИКОВАНИЕ
Постановление Департамента природопользования и охраны окружающей среды Владимирской области от 10.09.2018 № 84/01-25
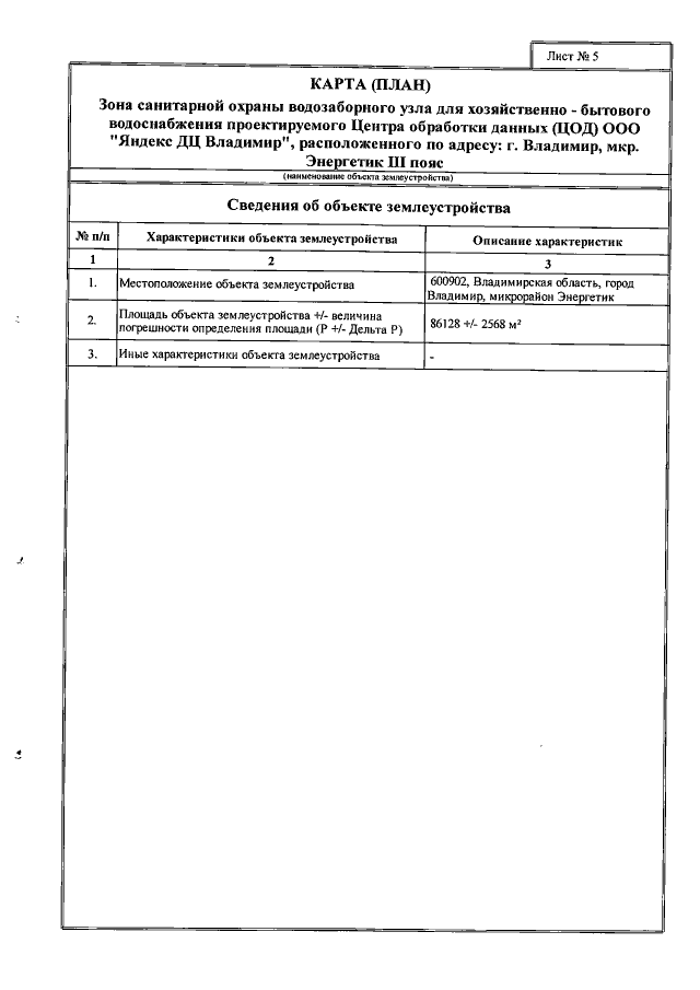
"Об утверждении проекта организации зон санитарной охраны водозаборного узла для хозяйственно-бытового водоснабжения проектируемого центра обработки данных ООО "Яндекс ДЦ Владимир"
Номер опубликования: 3301201809130001
Дата опубликования: 13.09.2018
Страница №96 из 121:
Увеличить