Официальное опубликование правовых актов
ОФИЦИАЛЬНОЕ ОПУБЛИКОВАНИЕ
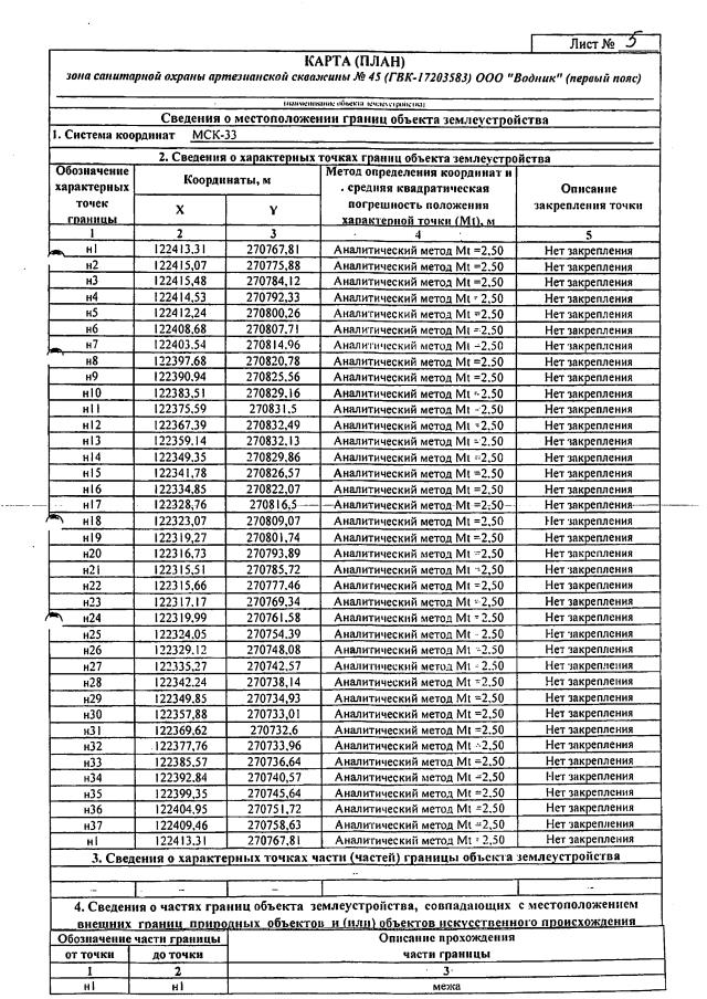
Постановление Департамента природопользования и охраны окружающей среды Владимирской области от 29.08.2018 № 79/01-25
"Об утверждении проекта организации зон санитарной охраны водозаборов ООО "Водник"
Номер опубликования: 3301201809050002
Дата опубликования: 05.09.2018
Страница №75 из 118:
Увеличить