Официальное опубликование правовых актов
ОФИЦИАЛЬНОЕ ОПУБЛИКОВАНИЕ
Постановление Департамента природопользования и охраны окружающей среды Владимирской области от 29.08.2018 № 79/01-25
"Об утверждении проекта организации зон санитарной охраны водозаборов ООО "Водник"
Номер опубликования: 3301201809050002
Дата опубликования: 05.09.2018
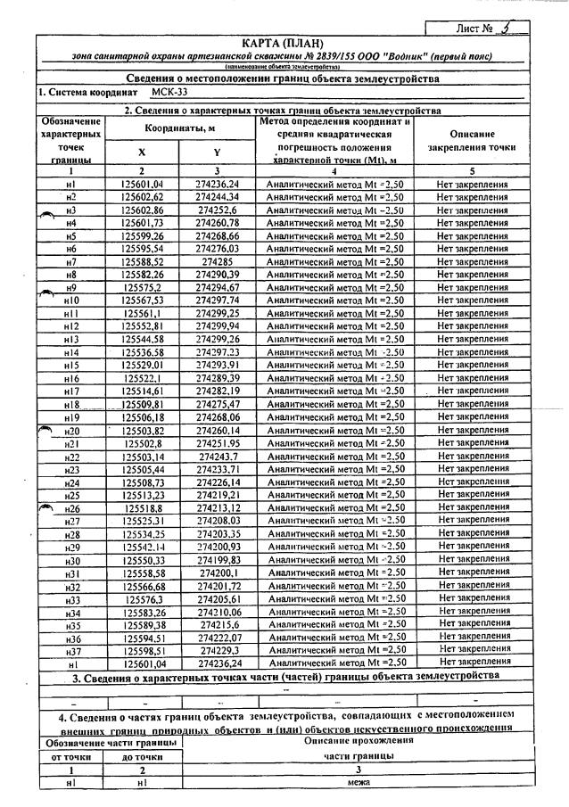
Страница №52 из 118:
Увеличить