Официальное опубликование правовых актов
ОФИЦИАЛЬНОЕ ОПУБЛИКОВАНИЕ
Постановление Департамента строительства и архитектуры администрации Владимирской области от 30.08.2018 № 63
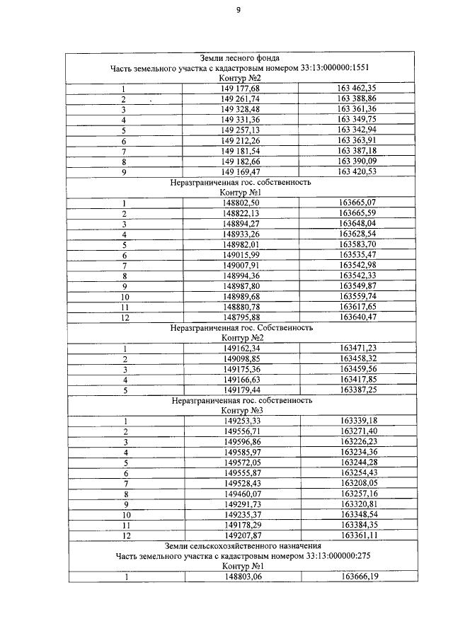
"Об утверждении документации по планировке территории, предусматривающей реконструкцию автомобильной дороги Покров - ст.Покров – Марково на участке км 6 – км 7 в Петушинском районе Владимирской области"
Номер опубликования: 3301201809040002
Дата опубликования: 04.09.2018
Страница №9 из 42:
Увеличить