Официальное опубликование правовых актов
ОФИЦИАЛЬНОЕ ОПУБЛИКОВАНИЕ
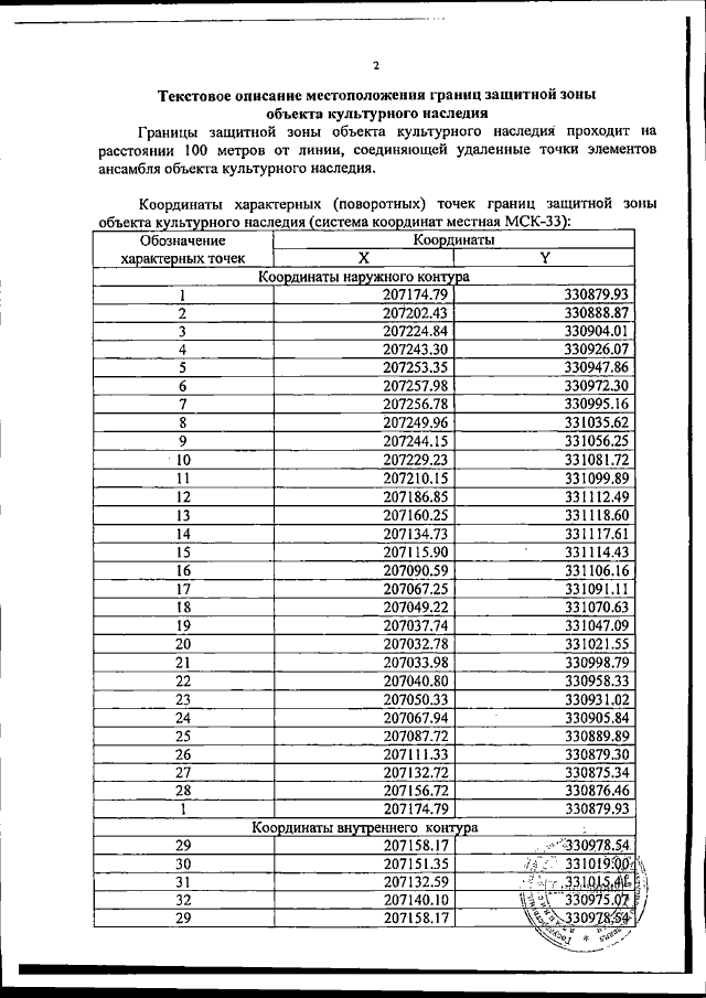
Постановление Инспекции по охране объектов культурного наследия Владимирской области от 14.06.2018 № 12
"Об установлении границ защитных зон объектов культурного наследия регионального значения"
Номер опубликования: 3301201806250001
Дата опубликования: 25.06.2018
Страница №69 из 70:
Увеличить