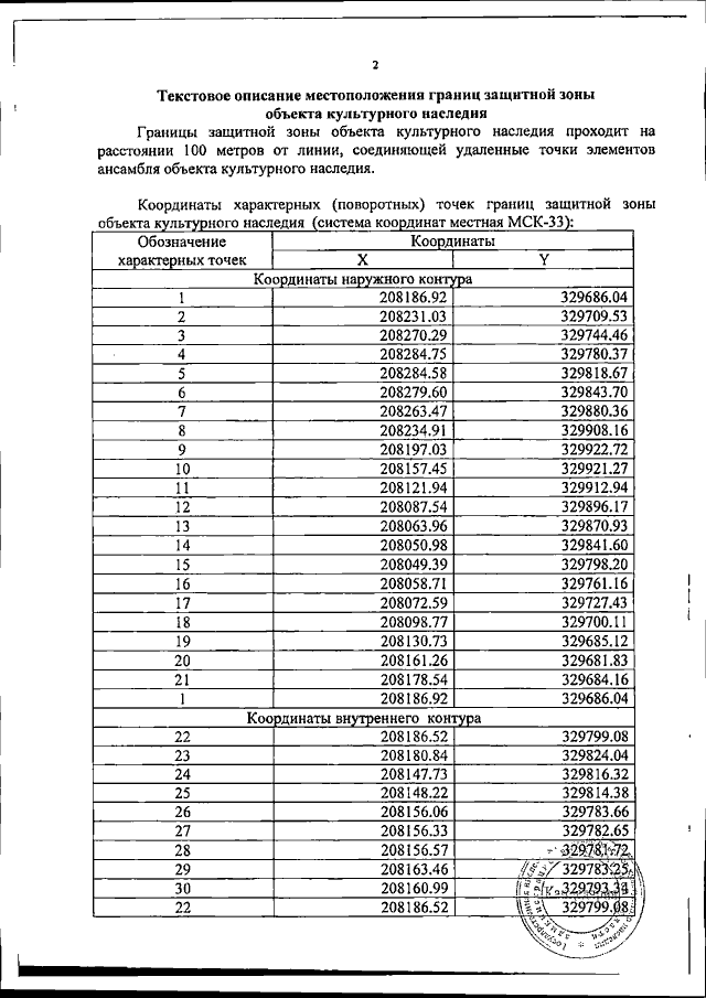
Постановление Инспекции по охране объектов культурного наследия Владимирской области от 14.06.2018 № 12
"Об установлении границ защитных зон объектов культурного наследия регионального значения"
"Об установлении границ защитных зон объектов культурного наследия регионального значения"
Номер опубликования: 3301201806250001
Дата опубликования:
25.06.2018
