Официальное опубликование правовых актов
ОФИЦИАЛЬНОЕ ОПУБЛИКОВАНИЕ
Постановление Департамента природопользования и охраны окружающей среды Владимирской области от 20.04.2018 № 36/01-25
"Об утверждении проекта зон санитарной охраны водозаборной скважины №3828/163 ИП Гуртенко А.В."
Номер опубликования: 3301201804240001
Дата опубликования: 24.04.2018
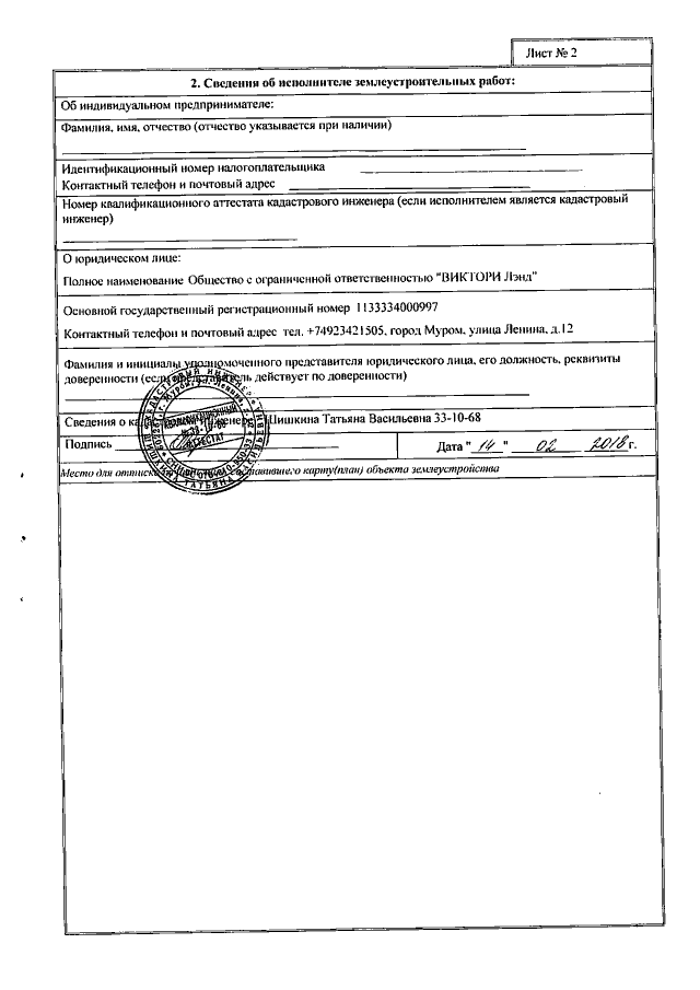
Страница №21 из 30:
Увеличить