Официальное опубликование правовых актов
ОФИЦИАЛЬНОЕ ОПУБЛИКОВАНИЕ
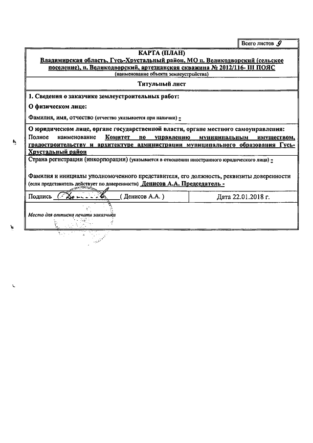
Постановление Департамента природопользования и охраны окружающей среды Владимирской области от 20.04.2018 № 34/01-25
"Об утверждении проекта зон санитарной охраны артезианской скважины №2012/116 МУП ЖКХ района"
Номер опубликования: 3301201804230002
Дата опубликования: 23.04.2018
Страница №20 из 29:
Увеличить