Официальное опубликование правовых актов
ОФИЦИАЛЬНОЕ ОПУБЛИКОВАНИЕ
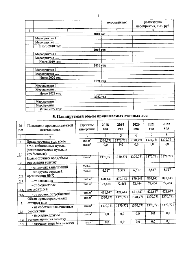
Постановление Департамента цен и тарифов Владимирской области от 05.12.2017 № 54/51
"Об установлении тарифов на питьевую воду и водоотведение"
Номер опубликования: 3301201712120043
Дата опубликования: 12.12.2017
Страница №11 из 13:
Увеличить