Официальное опубликование правовых актов
ОФИЦИАЛЬНОЕ ОПУБЛИКОВАНИЕ
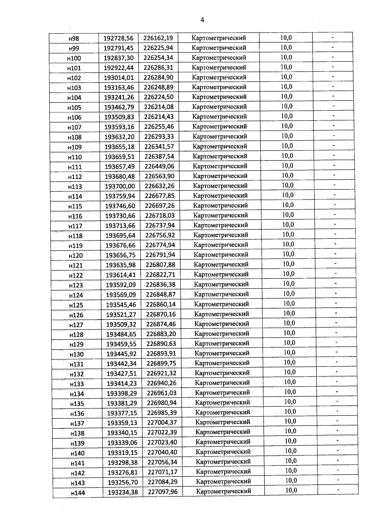
Указ Губернатора Владимирской области от 12.05.2025 № 51
"Об охранной зоне государственного памятника природы регионального значения "Рахмановская старица"
Номер опубликования: 3300202505120007
Дата опубликования: 12.05.2025
Страница №9 из 15:
Увеличить