Официальное опубликование правовых актов
ОФИЦИАЛЬНОЕ ОПУБЛИКОВАНИЕ
Постановление администрации Владимирской области от 27.10.2022 № 732
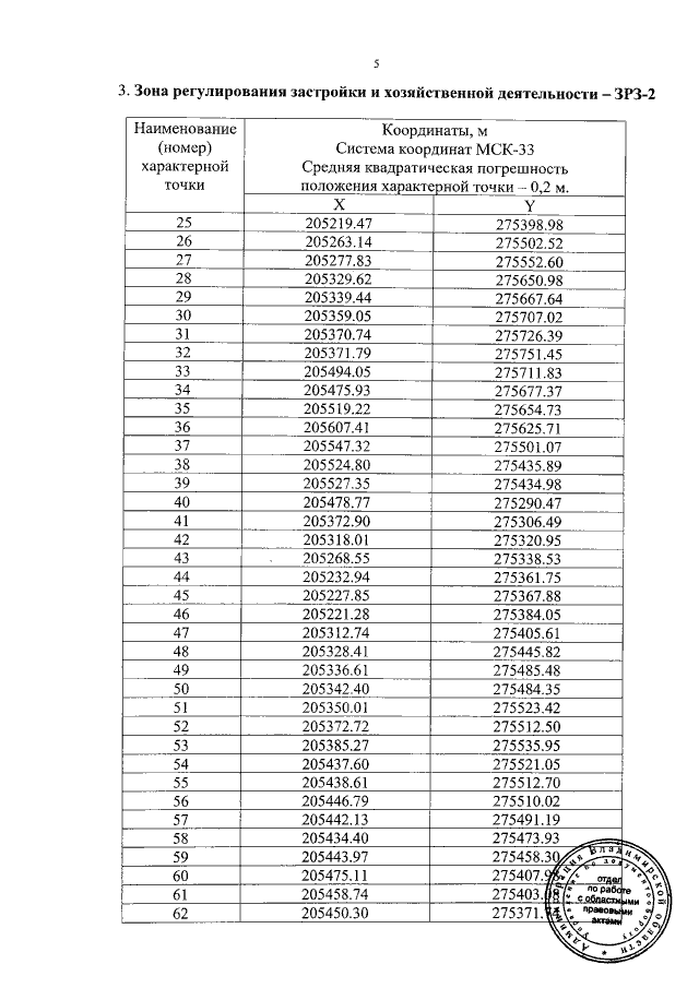
"Об установлении границ зон охраны объекта культурного наследия регионального значения "Благовещенская церковь", 1808 г. (Владимирская область, Ковровский район, с. Великово, д.74-а), об утверждении режимов использования земель и требований к градостроительным регламентам в границах территорий данных зон"
Номер опубликования: 3300202210280002
Дата опубликования: 28.10.2022
Страница №8 из 13:
Увеличить