Официальное опубликование правовых актов
ОФИЦИАЛЬНОЕ ОПУБЛИКОВАНИЕ
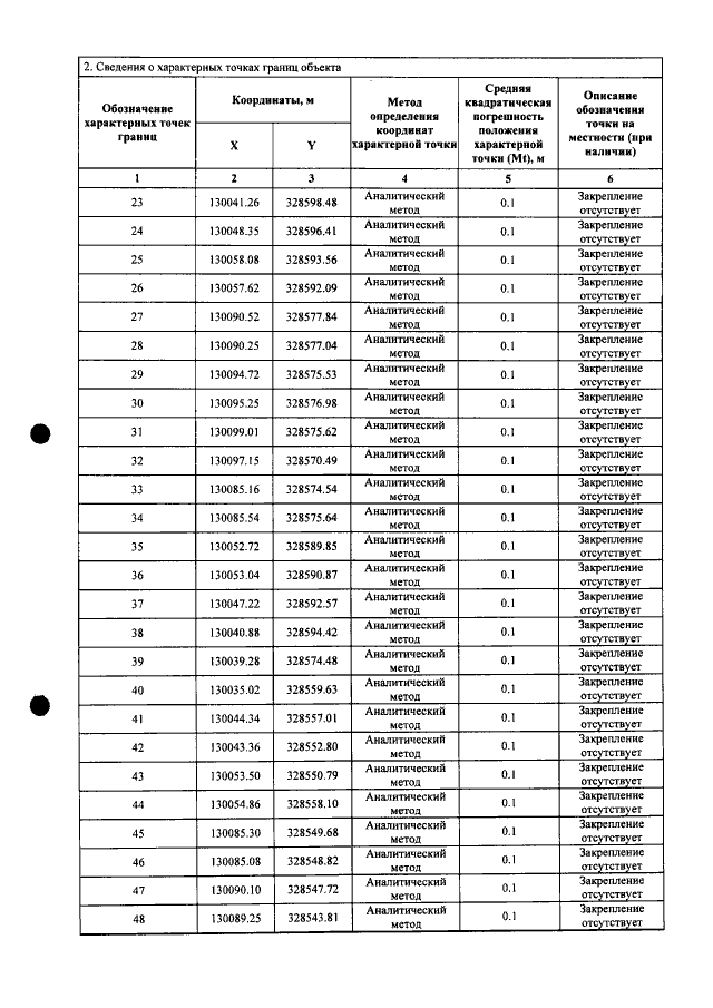
Постановление администрации Владимирской области от 29.04.2022 № 290
"Об утверждении границ охранных зон газораспределительных сетей"
Номер опубликования: 3300202205040001
Дата опубликования: 04.05.2022
Страница №376 из 960:
Увеличить