Официальное опубликование правовых актов
ОФИЦИАЛЬНОЕ ОПУБЛИКОВАНИЕ
Постановление администрации Владимирской области от 24.02.2022 № 99
"О внесении изменений в постановление администрации области от 28.03.2019 № 235"
Номер опубликования: 3300202202250001
Дата опубликования: 25.02.2022
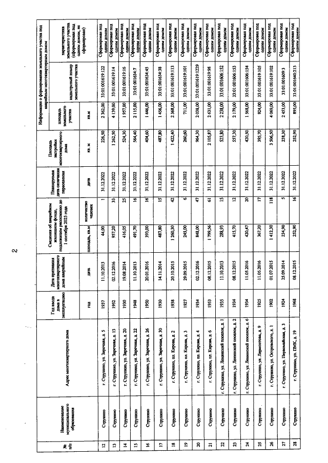
Страница №9 из 49:
Увеличить