Официальное опубликование правовых актов
ОФИЦИАЛЬНОЕ ОПУБЛИКОВАНИЕ
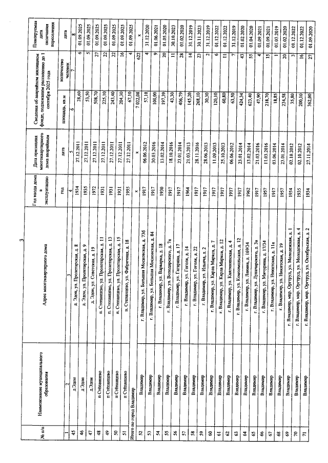
Постановление администрации Владимирской области от 28.03.2019 № 235
"Об утверждении областной адресной программы "Обеспечение устойчивого сокращения непригодного для проживания жилищного фонда Владимирской области"
Номер опубликования: 3300201904020008
Дата опубликования: 02.04.2019
Страница №39 из 90:
Увеличить