Официальное опубликование правовых актов
ОФИЦИАЛЬНОЕ ОПУБЛИКОВАНИЕ
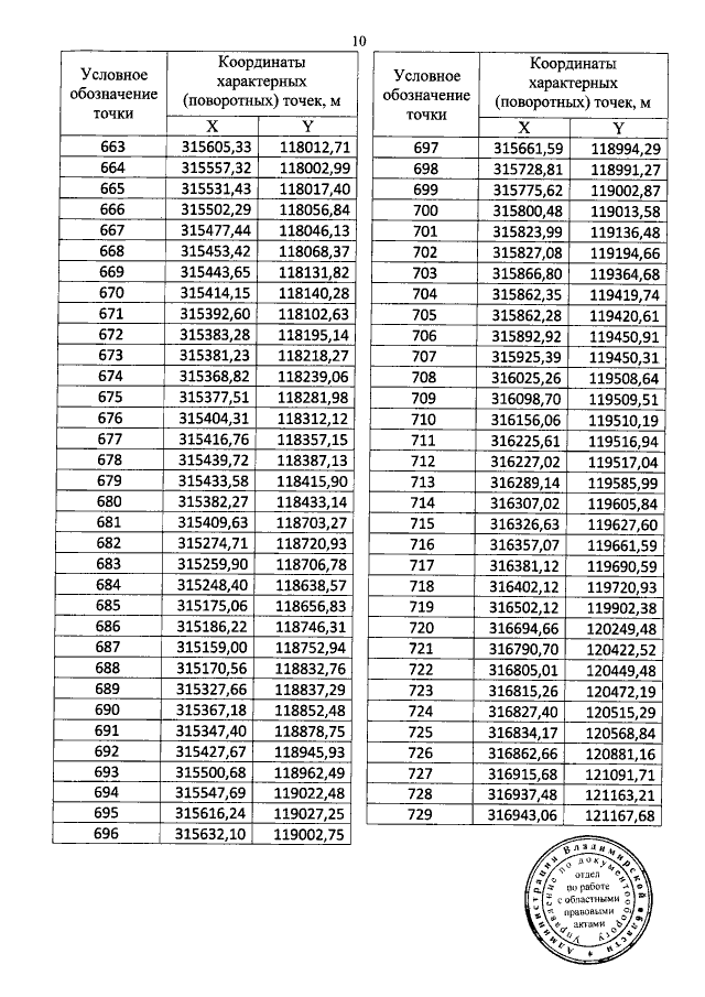
Постановление администрации Владимирской области от 02.07.2018 № 494
"О реорганизации отдельных особо охраняемых природных территорий регионального значения"
Номер опубликования: 3300201807040003
Дата опубликования: 04.07.2018
Страница №18 из 18:
Увеличить