Официальное опубликование правовых актов
ОФИЦИАЛЬНОЕ ОПУБЛИКОВАНИЕ
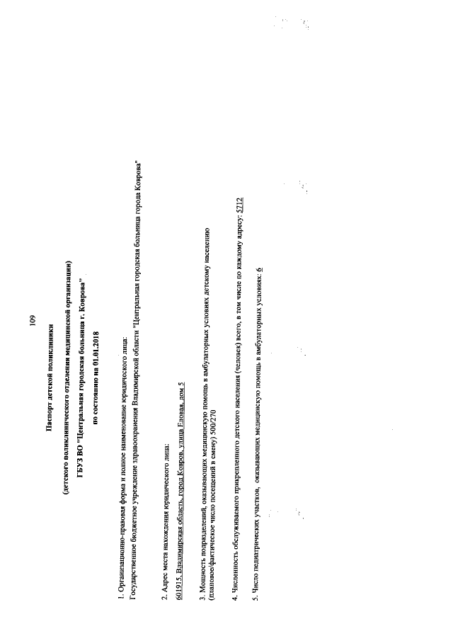
Постановление администрации Владимирской области от 10.05.2018 № 358
"О внесении изменений в отдельные нормативные правовые акты Владимирской области"
Номер опубликования: 3300201805170005
Дата опубликования: 17.05.2018
Страница №251 из 349:
Увеличить