Официальное опубликование правовых актов
ОФИЦИАЛЬНОЕ ОПУБЛИКОВАНИЕ
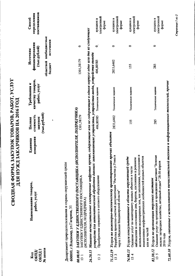
Постановление администрации Владимирской области от 24.06.2016 № 540
"О внесении изменений в постановление администрации Владимирской области от 23.12.2015 № 1300 "Об утверждении сводного объема закупок товаров, работ, услуг для обеспечения нужд заказчиков Владимирской области на 2016 год и на плановый период 2017 и 2018 годов"
Номер опубликования: 3300201606290003
Дата опубликования: 29.06.2016
Страница №637 из 892:
Увеличить