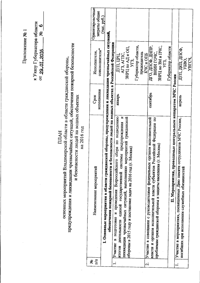
Указ Губернатора Владимирской области от 29.01.2016 № 6 "Об утверждении Плана основных мероприятий Владимирской области в области гражданской обороны, предупреждения и ликвидации чрезвычайных ситуаций, обеспечения пожарной безопасности и безопасности людей на водных объектах на 2016 год и Плана комплектования государственного бюджетного образовательного учреждения дополнительного образования Владимирской области "Учебно-методический центр по гражданской обороне и чрезвычайным ситуациям Владимирской области" на 2016 год"
Номер опубликования: 3300201602030007
Дата опубликования:
03.02.2016
