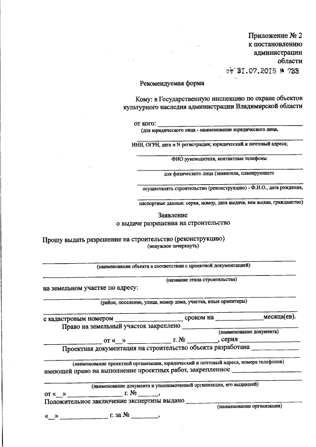
Постановление администрации Владимирской области от 31.07.2015 № 733
"О внесении изменений в отдельные нормативные правовые акты Губернатора области"
"О внесении изменений в отдельные нормативные правовые акты Губернатора области"
Номер опубликования: 3300201508040001
Дата опубликования:
04.08.2015
