Официальное опубликование правовых актов
ОФИЦИАЛЬНОЕ ОПУБЛИКОВАНИЕ
Постановление администрации Владимирской области от 07.07.2015 № 647
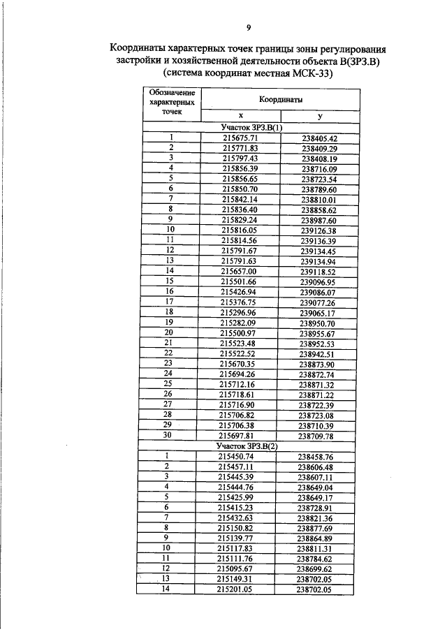
"Об утверждении границ зон охраны объекта культурного наследия регионального значения "Никольская церковь", 1872 г. (Камешковский район, с. Круглово), режимов использования земель и градостроительных регламентов в границах данных зон"
Номер опубликования: 3300201507100010
Дата опубликования: 10.07.2015
Страница №11 из 25:
Увеличить