Официальное опубликование правовых актов
ОФИЦИАЛЬНОЕ ОПУБЛИКОВАНИЕ
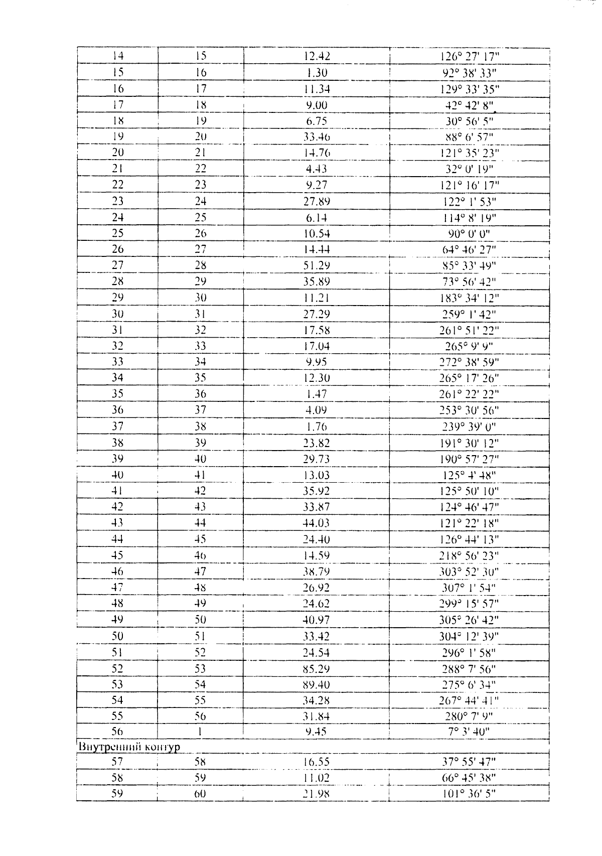
Приказ Управления по охране и сохранению историко-культурного наследия Брянской области от 30.01.2026 № 2-1/13
"Об установлении зон охраны объекта культурного наследия регионального значения "Ахтырская церковь с живописью в интерьере", расположенного по адресу: Брянская область, Брянский район, с. Чернетово, и утверждении требований к градостроительным регламентам в границах зон охраны"
(Зарегистрирован 04.02.2026 № 20260003025)
Номер опубликования: 3201202602110002
Дата опубликования: 11.02.2026
Страница №4 из 16:
Увеличить