Приказ Управления имущественных отношений Брянской области от 28.11.2025 № 1748
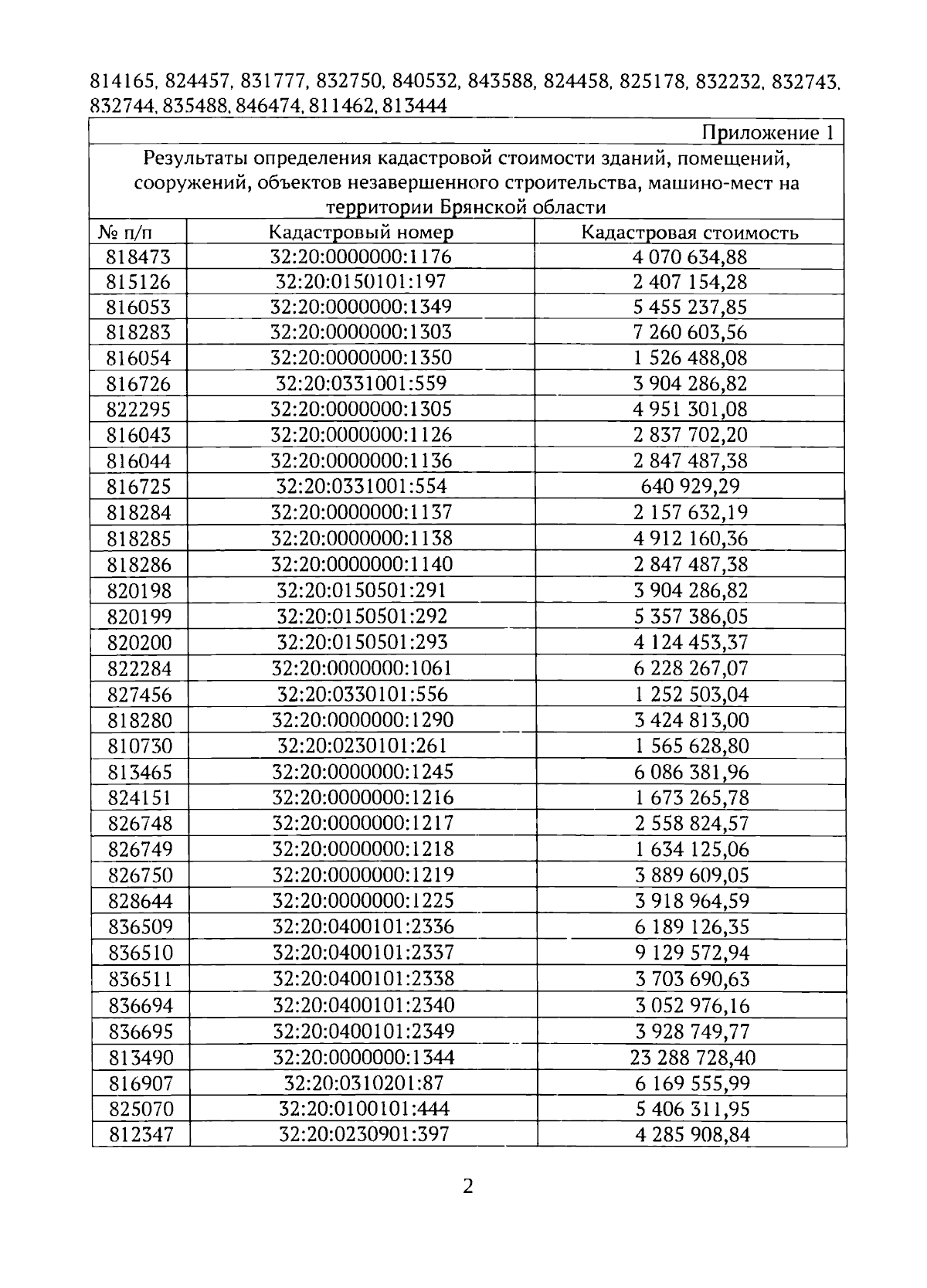
"О внесении изменений в приказ от 01.11.2023 № 1789 "Об утверждении результатов определения кадастровой стоимости на территории Брянской области"
(Зарегистрирован 02.12.2025 № 20250075019)
"О внесении изменений в приказ от 01.11.2023 № 1789 "Об утверждении результатов определения кадастровой стоимости на территории Брянской области"
(Зарегистрирован 02.12.2025 № 20250075019)
Номер опубликования: 3201202512030004
Дата опубликования:
03.12.2025
