Официальное опубликование правовых актов
ОФИЦИАЛЬНОЕ ОПУБЛИКОВАНИЕ
Приказ Департамента здравоохранения Брянской области от 23.07.2025 № 915
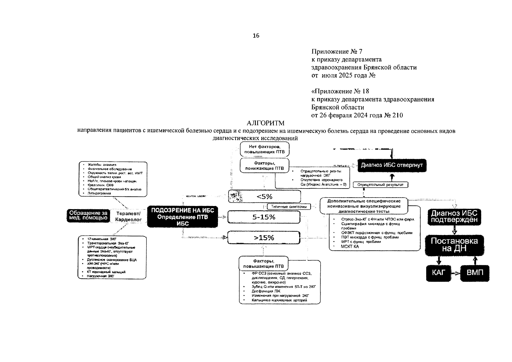
"О внесении изменения в приказ департамента здравоохранения Брянской области от 26 февраля 2024 года № 210 "Об организации оказания медицинской помощи больным с сердечно-сосудистыми заболеваниями на территории Брянской области"
(Зарегистрирован 23.07.2025 № 20250007006)
Номер опубликования: 3201202507280007
Дата опубликования: 28.07.2025
Страница №16 из 27:
Увеличить