Официальное опубликование правовых актов
ОФИЦИАЛЬНОЕ ОПУБЛИКОВАНИЕ
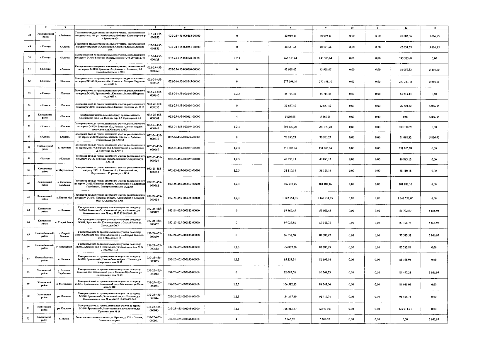
Приказ Управления государственного регулирования тарифов Брянской области от 30.05.2025 № 18/4-г
"Об установлении размера экономически обоснованных расходов на выполнение мероприятий по технологическому присоединению в рамках догазификации за I квартал 2025 года"
(Зарегистрирован 02.06.2025 № 20250051024)
Номер опубликования: 3201202506060001
Дата опубликования: 06.06.2025
Страница №5 из 24:
Увеличить