Официальное опубликование правовых актов
ОФИЦИАЛЬНОЕ ОПУБЛИКОВАНИЕ
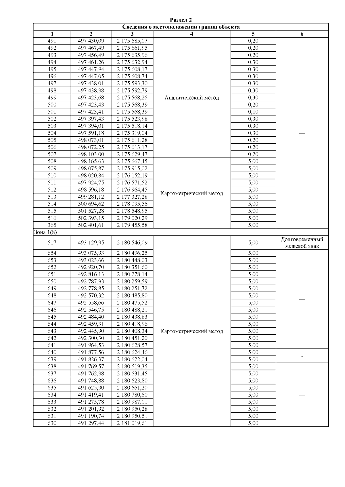
Приказ Управления лесами Брянской области от 23.09.2024 № 381
"Об утверждении границ лесопаркового зеленого пояса вокруг города Брянска"
(Зарегистрирован 23.04.2025 № 20250002021)
Номер опубликования: 3201202504250002
Дата опубликования: 25.04.2025
Страница №14 из 54:
Увеличить