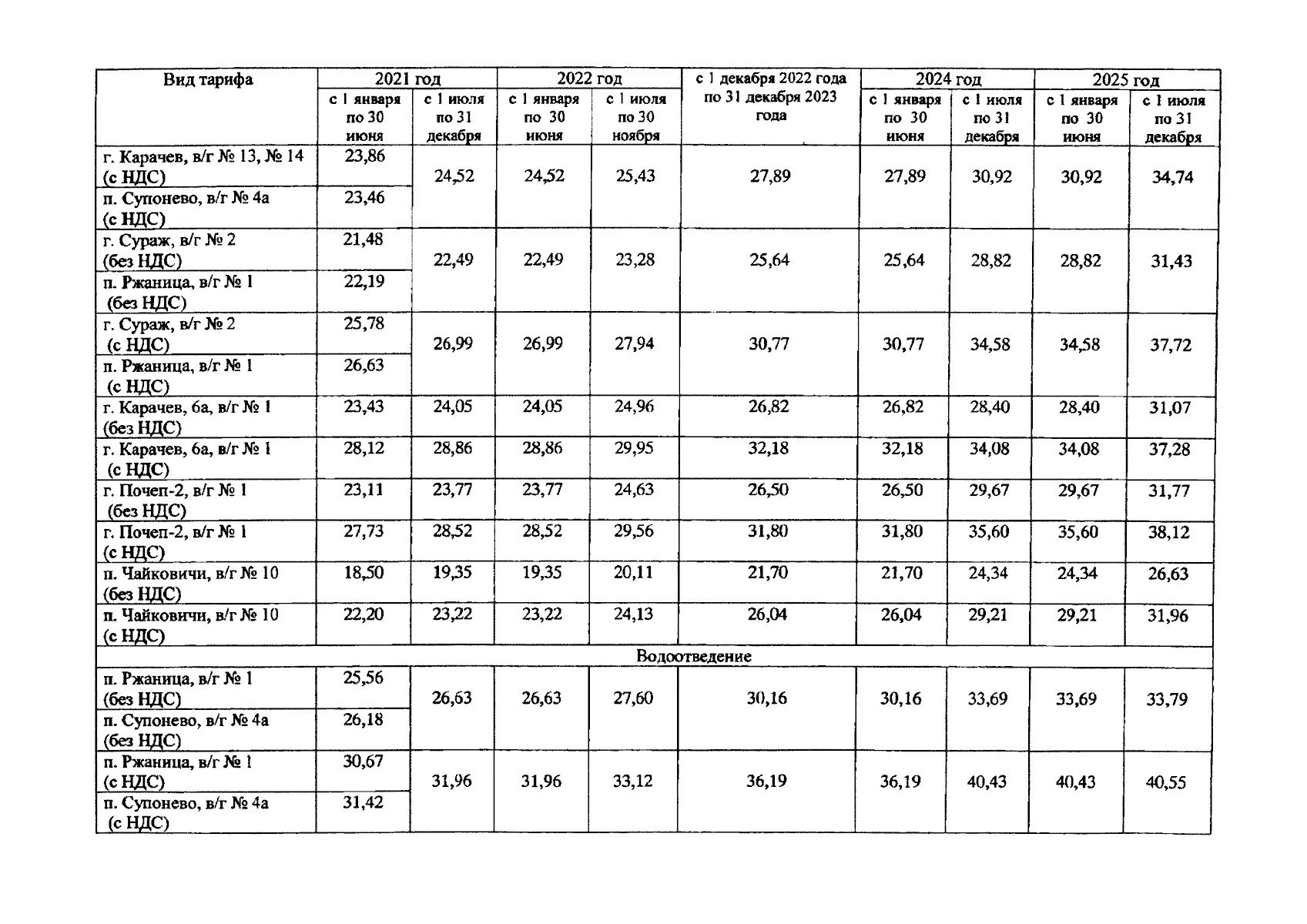
Приказ Управления государственного регулирования тарифов Брянской области от 19.12.2024 № 35/97-вк
"О внесении изменений в приказ управления государственного регулирования тарифов Брянской области от 18 декабря 2020 года № 31/111-вк "О тарифах на питьевую воду (питьевое водоснабжение) и водоотведение"
(Зарегистрирован 23.12.2024 № 20240227024)
"О внесении изменений в приказ управления государственного регулирования тарифов Брянской области от 18 декабря 2020 года № 31/111-вк "О тарифах на питьевую воду (питьевое водоснабжение) и водоотведение"
(Зарегистрирован 23.12.2024 № 20240227024)
Номер опубликования: 3201202412260068
Дата опубликования:
26.12.2024
