Официальное опубликование правовых актов
ОФИЦИАЛЬНОЕ ОПУБЛИКОВАНИЕ
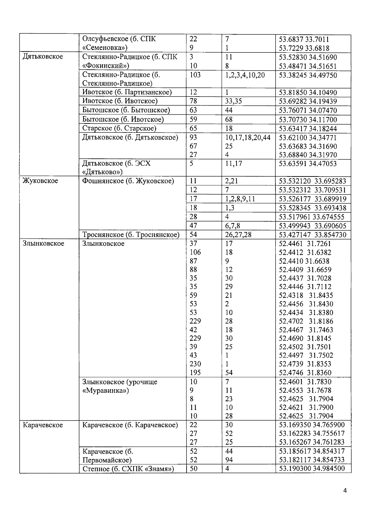
Приказ Управления лесами Брянской области от 20.09.2024 № 375
"Об ограничении пребывания граждан в лесах и въезда в них транспортных средств, проведения определенных видов работ"
(Зарегистрирован 20.09.2024 № 20240005021)
Номер опубликования: 3201202409230001
Дата опубликования: 23.09.2024
Страница №4 из 7:
Увеличить