Приказ Управления государственного регулирования тарифов Брянской области от 20.12.2023 № 31-2/58-гвс
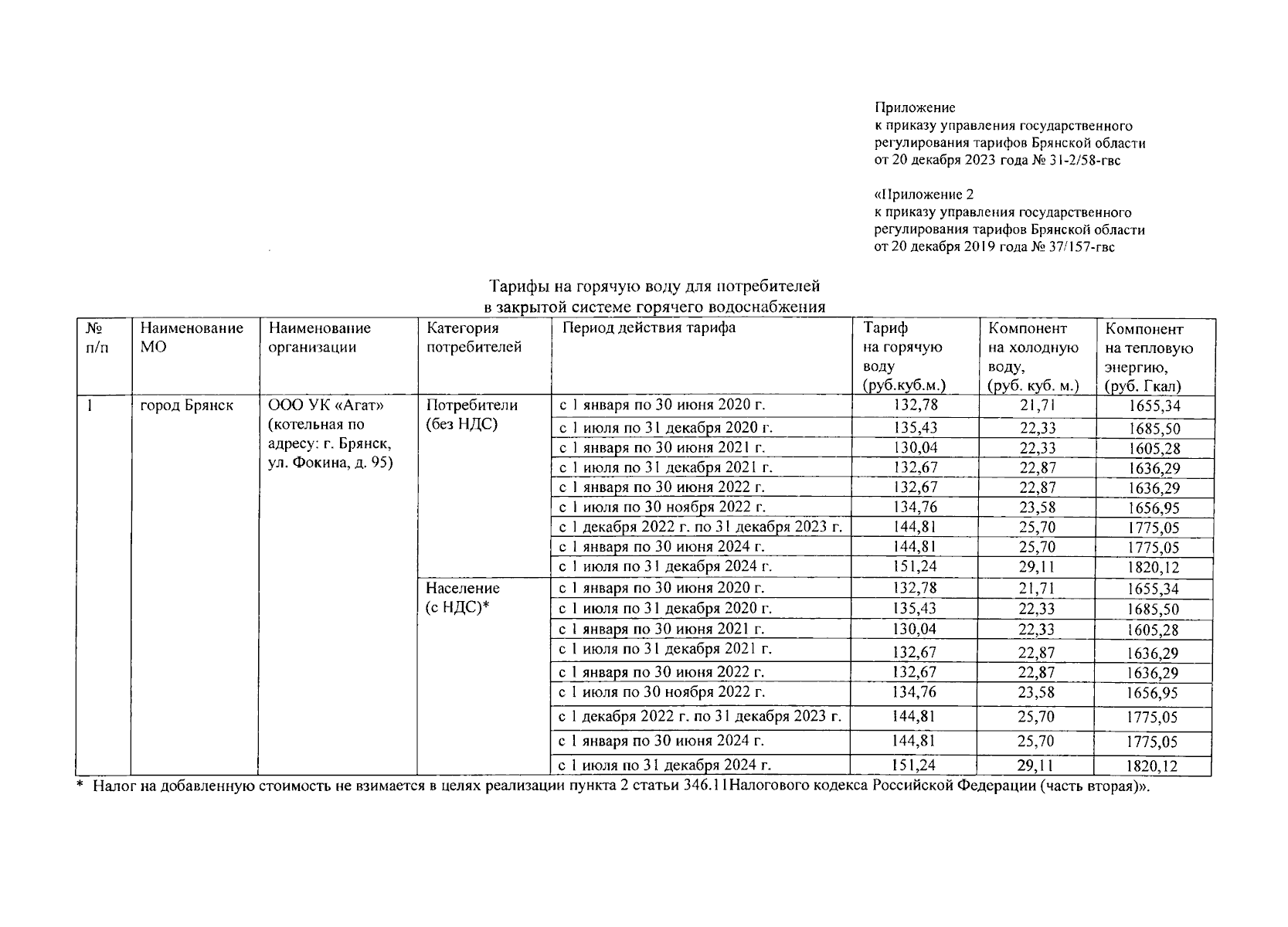
"О внесении изменения в приказ управления государственного регулирования тарифов Брянской области от 20 декабря 2019 года № З7/157-гвс "О тарифах на горячую воду, для потребителей ООО УК "Агат" (котельная по адресу: Брянская область, г. Брянск, ул. Фокина, д. 95)"
(Зарегистрирован 21.12.2023 № 20230329024)
"О внесении изменения в приказ управления государственного регулирования тарифов Брянской области от 20 декабря 2019 года № З7/157-гвс "О тарифах на горячую воду, для потребителей ООО УК "Агат" (котельная по адресу: Брянская область, г. Брянск, ул. Фокина, д. 95)"
(Зарегистрирован 21.12.2023 № 20230329024)
Номер опубликования: 3201202312270076
Дата опубликования:
27.12.2023
