Приказ Управления имущественных отношений Брянской области от 30.10.2020 № 1577
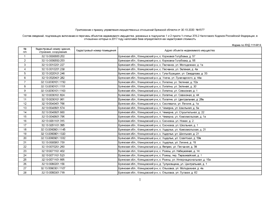
"О внесении изменений в приказ от 26.10.2016 №1265 "Об определении Перечня объектов недвижимого имущества, расположенных на территории Клинцовского района Брянской области, в отношении которых в 2017 году налоговая база определяется как их кадастровая стоимость"
"О внесении изменений в приказ от 26.10.2016 №1265 "Об определении Перечня объектов недвижимого имущества, расположенных на территории Клинцовского района Брянской области, в отношении которых в 2017 году налоговая база определяется как их кадастровая стоимость"
Номер опубликования: 3201202011030006
Дата опубликования:
03.11.2020
