Официальное опубликование правовых актов
ОФИЦИАЛЬНОЕ ОПУБЛИКОВАНИЕ
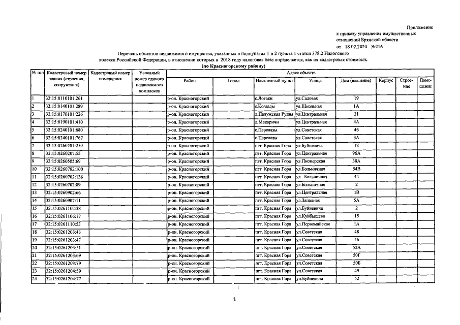
Приказ Управления имущественных отношений Брянской области от 18.02.2020 № 216
"О внесении изменений в приказ от 27.11.2017 №1328 "Об определении перечня объектов недвижимого имущества, расположенных на территории Красногорского района Брянской области, в отношении которых в 2018 году налоговая база определяется как их кадастровая стоимость"
Номер опубликования: 3201202002210018
Дата опубликования: 21.02.2020
Страница №3 из 6:
Увеличить